千葉大学大学院医学研究院
救急集中治療医学
千葉大学病院
救急科・集中治療部
千葉大学大学院医学研究院 救急集中治療医学は 救急集中治療に関連する様々な問題を研究し,その成果を臨床応用しようと考えております.
是非,救急集中治療医学の研究に興味がある大学生,大学院生,研究者の方々はお気軽にご連絡ください.
以下,最近の研究成果です.
髙橋希
近年、全ゲノムシーケンシングが臨床および研究の現場で急速に普及し、構造変異の網羅的な解析が可能となりました。敗血症においても、死亡感受性には強い遺伝的背景が存在することが示されています。そこで、千葉県内の3つの集中治療室から集められた敗血症性ショック患者さんの検体の遺伝子解析を行い、重症度や死亡率との関連についてメンデルランダム化という因果推論の手法を用いて解析しました。これは、遺伝子が両親からランダムに分配されることを利用して因果関係を推測する統計手法です。この解析の結果、現在3つの遺伝的素因と敗血症の予後との因果関係を明らかにしています。下記に示す図はテストステロンに関する解析から一部を抜粋しています。
1. 血清テストステロン値
Causal effects of serum testosterone on septic shock mortality: a Mendelian randomization study. Crit Care, 2026 Jan 23;30(1):84. doi: 10.1186/s13054-026-05860-x.
https://pubmed.ncbi.nlm.nih.gov/41578360/
2. 低密度リポタンパク質コレステロールのクリアランス低下
Decreased Clearance of Low-Density Lipoprotein Cholesterol is Causally Associated With Increased Mortality of Septic Shock. Crit Care Med, 2025 Oct 1;53(10):e2033-e2042.
https://pubmed.ncbi.nlm.nih.gov/41578386/
3. アポリポタンパク質A-II
Low apolipoprotein A-II levels causally contribute to increased mortality in septic shock. J Intensive Care, 2025 Feb 20;13(1):10.doi: 10.1186/s40560-025-00782-2.
https://pubmed.ncbi.nlm.nih.gov/ 39980010/
石川菜摘子
Increased number of dispatches in emergency medical services correlates to response time extension
2024 Nov 5; 11(1): e70017.
https://doi.org/10.1002/ams2.70017
レスポンスタイムは、救急要請から現場到着までの時間を指し、その延長は患者予後の悪化に繋がることが知られています。日本の救急医療サービスでは通常、現場から最も近い救急隊が出動しますが、近隣の救急隊が出動中の場合には、より遠方の救急隊が対応する必要があります。このため、救急出動件数の増加に伴い、救急車の走行距離が延び、それに伴ってレスポンスタイムが延長する可能性があると考えました。
千葉県千葉市における2021年5月から6月の全7915件のデータを用いて相関を分析したところ、出動件数の増加とレスポンスタイムの延長(r=0.94, p<0.0001)、出動件数の増加と救急車走行距離の増加(r=0.95, p<0.0001)にいずれも正の相関が認められました。また、出動件数と救急発生件数の分布を可視化するためにヒートマップを作成し、さらに、出動件数が最も少ない救急隊を出動件数が最も多い救急隊のエリアへ再配置するシミュレーションを実施しました。その結果、レスポンスタイムの平均値が短縮されることが確認されました。
これらの結果から、出動件数の偏りを考慮した救急隊の配置が、レスポンスタイム短縮に寄与する可能性が示唆されます。今後は、患者予後への影響についての解析も進めていきたいと考えています。
大網毅彦
Performance of a large language model in screening citations
診療ガイドラインを作成するために必要なシステマティックレビューという作業は、ある医学領域に関連する文献を抽出し、文献の情報を同定、選択や評価を行う作業で、多くの労力や時間を要します。一方、ChatGPTなどの人工知能(AI)が文献の抽出作業を代行できれば、人間が行うべき作業量を大幅に削減することができます。しかしこれまで、ChatGPTを用いた文献スクリーニング作業の精度や作業負担軽減の程度はほとんど検討されていませんでした。
今回日本版敗血症診療ガイドライン2024の臨床疑問(CQ)に関する文献スクリーニングデータを使用して、ChatGPTの文献スクリーニング作業に関する性能を検証しました。その結果、ChatGPTは膨大な医学情報の中からガイドライン作成に必要な文献を高い精度で見つけ出すことができることがわかりました。同時に、医学文献検索にかかる膨大な作業時間を従来の方法の10分の1以下まで短縮できることも明らかになりました。
医師や看護師などの医療従事者が中心となって作成する診療ガイドラインには多くの人手や時間が必要です。現在、医師の働き方改革が進められており、医療従事者の労働負担を減らすことが重要な課題となっています。AIを活用した効率的な文献スクリーニング方法は、持続可能な働き方を実現するための一つの解決策として期待されます。今後もAIを活用した作業の効率化につながる取り組みを続けていこうと思います。
栗田健郎
Machine learning algorithm for predicting 30-day mortality in patients receiving rapid response system activation: A retrospective nationwide cohort study
Heliyon, (Published: June 06, 2024, DOI: https://doi.org/10.1016/j.heliyon.2024.e32655)
Rapid Response System (RRS)は, 診療報酬改訂もあり, 多くの施設で導入されるようになりました. RRSでは急変患者にいかに適切に対応するかがポイントの一つであり, そのためには患者の予後を予測することも重要になります. そこで今回, 本邦のRRS多施設レジストリであるIHER-Jレジストリのデータを用い, 機械学習を活用し予後予測アルゴリズムを確立しました.
4997例のデータを用い, 患者背景やRRSの起動情報など52項目を因子として, 30日死亡を予測するアルゴリズムを作成しました. 結果, LightGBMを用いた機械学習により, AUC 0.860と既報に比較して精度の高い予後予測アルゴリズムを確立することができました. また予後に関わる重要な因子についても解析を行い, 病院規模やRRS要請場所, 患者のコードステータスや要請前24時間以内のバイタルサインの異常, が予後に関わる重要な因子として抽出されました.
RRSは近年注目度が高まっている分野であり, 本邦全体でのレベルアップが求められています. 千葉大学は国内有数のRRSの運用経験も重ねており, 今後も本邦のRRSの質の向上につながる知見を積極的に発信していきます.
林洋輔
Associations between fluid overload and outcomes in critically ill patients with acute kidney injury: a retrospective observational study.Scientific Reports13,Article number: 17410 (2023)
重症患者の救命に輸液療法は重要です。蘇生においてまずは十分な輸液を行いますが、過剰輸液は種々の臓器障害を引き起こすリスクとなります。2014年にROSEコンセプトが提唱され、de-resuscitationについて様々な議論がなされていますが、いつ輸液を制限するか、いつde-resuscitationに移行すべきかはまだ明確な答えが出ていません。
今回私たちは、千葉大学ICUに72時間以上在室した1120例の成人AKI症例を対象に、ICU入室から1時間おきのデータを用いてfluid overloadとmortalityやventilator-free daysの関係を検討しました。年齢、性別、敗血症の有無で補正したmultivariate logistic/linear regression analysisの結果、fluid overloadとmortalityはICU入室27時間目から、ventilator-free daysはICU入室1時間目から有意に関係していました。また階層クラスタリングによりfluid overloadの推移もまた重要であることを示しました。
私たちは詳細なデータを用いることで,既報よりも早くからfluid overloadが予後と関係することを明らかにしました.しかし何がこの関係に寄与しているか,de-resuscitationに移行する根拠となるものは何かなど,解き明かすべきことがまだあります.今後も研究を続け,よりよい重症患者管理に繋げたいと考えています.
今枝太郎
Epidemiology of sepsis in a Japanese administrative database.Acute Medicine & Surgery. 2023 Oct 12;10(1):e890.doi: 10.1002/ams2.890. eCollection 2023 Jan-Dec.
敗血症は死亡率が高く世界保健機関により「世界が取り組むべき課題」に設定されています。敗血症患者の特徴には地域差があるため集団ベースの研究により日本の疫学を把握することが敗血症の治療戦略を考える上で重要です。そこでDiagnosis Procedure Combination(DPC)データを用いた研究の文献レビューを行いました。
DPCデータを用いた研究78件(2000-2023年)のうち敗血症に関するものは20件でした。敗血症患者の死亡率は2010年から8年間で25%から18%へ低下した一方で患者数は増加傾向でした。抗菌薬の短期投与群(7日以内)において28日死亡率が低かったです。敗血症性ショック患者に対する低用量ステロイド投与やPolymyxin B hemoperfusionの実施、播種性血管内凝固症候群に対するアンチトロンビン製剤投与は死亡率の低下と関連がありました。敗血症診療における費用対効果は2010年からの8年間で改善傾向でした。
敗血症は公衆衛生に大きな影響をおよぼす最も重要な課題の1つです。引き続きDPCデータを用いた研究により日本の敗血症の実態を明らかにしていきます。
三森薫
Machine learning algorithms for predicting days of high incidence for out-of-hospital cardiac arrest. Scientific Reports (2023)13: 9950(2023.6.19)
院外心停止は、早期発見や介入により患者の神経学的予後を改善させる可能性があります。今回の研究では、気象情報を用いた機械学習モデル(XGBoost)が日本国内の人口上位6都道府県において事前に規定した「院外心停止の高発生日(2005年から2015年の東京都で1日あたりのOHCA発生率が75%タイル以上の日)」を高精度で予測することを示しました(AUROC 0.906)。「低い前日の平均気温」「冬」「高い高齢化率」が院外心停止発生の増加に寄与していました。
この研究の展望として、院外心停止発生の予測をもとに慎重なモニタリングをすべき母体集団の検索や、それが院外心停止の予防、早期発見及び介入へ実際に寄与するかの検証につながる可能性があります。医療現場での機械学習の活用はますます可能性を広げています。今後もよりよい救急、集中治療へつながる研究に携わっていきたいです。
吉田陽一
Prehospital stroke-scale machine-learning model predicts the need for surgical intervention. Scientific Reports (2023)13: 9135 (2023.6.5)
脳卒中では、主幹動脈閉塞を伴う脳梗塞に加え、脳出血やくも膜下出血においても迅速な治療介入が求められます。先行研究では、機械学習モデルにより高い精度で脳卒中およびその病型診断が可能となることがわかりました。今回は、すべての脳卒中病型に対する治療介入予測(tPA/血栓回収、血腫除去、動脈瘤治療)に関する検証を行いました。
治療介入195例を含む793例の脳卒中症例データをTraining/Test cohortに分割して機械学習モデル(XGBoost)を構築し、高い精度で治療介入を予測できました(AUROC 0.802)。診断への寄与が大きい変数は、意識レベル、バイタル、年齢、発症から要請までの時間、突然の頭痛・意識障害、言語障害となり、詳細な神経診察が含まれていませんでした。救急隊にとっても簡便な調査項目であるため正確な情報を得やすいと考えます。
本システムを現行のアプリケーションに上乗せして、迅速かつ適切な救急搬送に貢献できるよう活用していきます。
大網毅彦
Mortality analysis among sepsis patients in and out of intensive care units using the Japanese nationwide medical claims database: a study by the Japan Sepsis Alliance study group. Journal of Intensive Care.2023.1.7
敗血症患者は臓器サポートや厳重なモニタリングを目的として集中治療室で管理されることが多いですが,本邦では敗⾎症患者のICU管理が予後に及ぼす影響に注⽬した研究は⾏われていませんでした。そこで今回⼤規模な日本のDiagnosis Procedure Combination (DPC) データを⽤いて,ICUとICU以外で治療した敗⾎症患者の死亡率を重症度や背景因子を調整した上で比較しました。
本研究により,ICUで治療した患者はICU以外で管理された敗血症患者に比べて死亡率が有意に低いことがわかりました。特に人工呼吸管理などの臓器サポートを要する場合は,ICUで管理された敗血症患者の死亡率がさらに低下する傾向を認めました。今後限られた医療資源を有効に活用していく観点から,今回の結果を踏まえてどのような敗血症患者をICUで管理すべきかについて明確な方針を立てることができればと思います。これからもJapan Sepsis Alliance と連携して⽇本の敗⾎症対策を推進していきます。
高橋希
Short- versus long-course antibiotic therapy for sepsis: a post hoc analysis of the nationwide cohort study. Journal of Intensive Care. 2022.10.29
敗血症は救急・集中治療において重要な疾患であり,抗菌薬投与はその治療戦略の要です.しかし,敗血症に対する抗菌薬の投与期間についてはまだコンセンサスが得られていません.
そこで我々は,日本のDiagnosis Procedure Combination (DPC) データから当教室の今枝太郎先生が研究し収集した敗血症の約90万症例をもとに,短期抗菌薬投与と長期抗菌薬投与を比較した研究を行いました.
その結果,短期抗菌薬投与の方が28日死亡率は有意に低いこと,サブグループ解析では院内発症の敗血症ではそれが当てはまらないことを明らかにしました.
適正な抗菌薬投与は耐性菌出現リスクの低下や医療コストの最適化にも繋がると考えられます.


岩瀬信哉
Prediction algorithm for ICU mortality and length of stay using machine learning. Scientific Reports. 2022.7.28
膨大なデータが収集されるICUは機械学習を適用するに良い環境であり、また予後予測やリスク因子の把握は適切な臨床意思決定や医療資源の配分につながると考えられます。そこで、当施設のデータを用いて機械学習による「ICU内転帰」「1週間以内の生存退室」「2週間超の生存退室」の予後予測アルゴリズム確立とその精度の検証、さらにはクラスタリング分析を併用した死亡リスク因子の解明を目的に本研究を行いました。
本研究により、ICU患者の転帰・在室日数予測は機械学習により高精度に行えることが確認できました。また、lactate dehydrogenase (LDH)はICU患者の予後予測に関する重要因子であるとともに、死亡リスクに基づくICU患者のクラスタリングに寄与する因子であることが明らかとなりました。
臨床、研究の両面で人工知能の活用が有効な場面は医学においても多くあります。今後もより良い集中治療につながる研究に努めたいと思います。
大網毅彦
Temporal trends of medical cost and cost-effectiveness in sepsis patients: a Japanese nationwide medical claims database. Journal of Intensive Care.2022.07.14
2011年⽶国での敗⾎症に係る医療費が 2 兆円を超え、他疾患と⽐較して社会的影響が⼤きな疾患であると報告されている⼀⽅で、本邦では敗⾎症患者の医療費に注⽬した研究報告は⾏われていませんでした。
そこで今回⼤規模なDiagnosis Procedure Combination (DPC) データを⽤いて⽇本国内の敗⾎症に関する医療費の実態を調査しました。この研究は、⽇本集中治療医学会、⽇本救急医学会、⽇本感染症学会が⽇本国内での敗⾎症の啓発と対策強化を⽬的に立ち上げたJapan Sepsis Alliance(⽇本敗⾎症連盟)の活動の⼀環として行いました。
本研究により、日本における敗血症患者の医療費は年々増加傾向である一方、敗血症診療における費用対効果は改善傾向にあることがわかりました。超高齢社会である日本において敗血症診療に必要な医療費は将来的に増加していくことが推測されます。
今回の研究結果をもとに、医療財源利用の適正化を促進するために適切な医療資源の分配や診療の質向上などにつながる戦略を立てていくことが重要であると考えられます。今後もJapan Sepsis Alliance と連携して⽇本の敗⾎症対策を推進していきます。
川口留以
Intravascular fluid also affects results: No prolongation of capillary refill time by removal of excessive fluids by hemodialysis. j.ajem.2022.06.26
CRTを変化させる要素の一つは血管内容量と考えられております。慢性維持透析では、腎不全により溜まる余剰水分を短時間(3-4時間)で大量の除水(2-4L)を行います。そのため、CRTがその前後で変化する可能性があるのではと考えました。
我々はCRT測定装置を開発し、慢性維持透析中のCRTデータ収集を行い、解析すると、透析前後でCRT値の有意な変化はないことを明らかとしました。つまり余剰な血管内容量を適切な容量に急激に回復させる場合には、CRTは変化しない可能性が示唆されました。
今後も、CRT測定装置開発およびさらなる臨床研究を行い、新しい知見を創出していきたいと思います。

林洋輔
A prehospital diagnostic algorithm for strokes using machine learning: a prospective observational study. Scientific Reports 2021;10.20519
脳卒中は,特に脳梗塞における血栓溶解療法や血管内治療の進歩により治療成績が向上しています.しかしこれら超急性期治療には時間的制約があり,適切かつ迅速な救急搬送による早期治療開始が重要です.そのためこれまで様々な脳卒中スケールが開発されてきましたが,その予測精度にはいまだ改善の余地があり,私たちは千葉市消防局,千葉市内12医療機関と共同で本研究を行いました.
救急隊員が脳卒中を疑った1446例を対象に,機械学習を用いて脳卒中予測診断を行ったところ,eXtreme Gradient Boosting (XGBoost)という機械学習アルゴリズムがarea under the receiver operating curve(AUROC) 0.980と最も高精度に脳卒中を予測しました.またXGBoostは脳卒中のサブカテゴリーも同様に,AUROCが主幹動脈閉塞を伴う/伴わない脳梗塞 0.898/0.882、脳出血 0.866、くも膜下出血 0.926と高精度に予測しました.
この結果を元に,現在予測診断アプリケーション開発を進めており,より適切かつ迅速な対応可能施設への搬送と早期治療開始に貢献したいと考えています.

齋藤大輝
Impact of posture on capillary refilling time. American journal of emergency medicine 2021;11.006
Capillary refilling time (CRT)は簡便なショックの指標として非常に有名ですが,評価者の主観が大きく影響し定量的な評価が困難でした.そこで我々の研究室ではこれまでに千葉大学フロンティア医工学センターと共同で,CRTを定量評価できる基礎実験装置を開発し,適切な圧迫時間や圧迫力 (Crit Care 2019;23:4)やフィードバック機構 (Crit Care 2019;23:295)に関する報告を行ってきました.今回は適切な測定条件設定のため,測定時の体位や測定部位の高さを変え測定を行い,”仰臥位と座位”ではCRT値が変化し,また手の高さに比例してCRT値が変化する事がわかりました.したがって今後,測定時の体位や手の高さも一定にして測定を行う必要があります.
これらの知見を基に,敗血症性ショックやショックを伴う重症病態への貢献を目的とし,臨床研究を継続します.

CRT測定装置
測定者はディスプレイの表示に従い被験者の爪床を圧迫することで,
最適な状態でデータを収集できる.

A:仰臥位と坐位でのCRT値比較
B:仰臥位で心臓の高さから10㎝単位で計測したCRT値比較
馬場彩夏
集中治療室におけるサイトメガロウイルス抗原血症検査に関する検討:単施設後方視的研究
日本集中治療医学会誌 2022;29:3-7.
サイトメガロウイルス(CMV)は潜伏感染していることが多く,免疫抑制状態で発症し致命的となることもあります.CMV感染症はICU入室患者の予後悪化に関連しており,近年ICUにおける研究も増加しておりますが,検査の施行頻度に関する検討は不十分で,血液疾患・臓器移植患者と異なり共通の推奨頻度はなく,各施設の医師の裁量にゆだねられております.
当院では2016年4月より週1回の定期的なCMV抗原血症検査を行っており,定期的検査施行前後の比較検討を行いました.その結果,より多くのCMV感染患者を同定することができ,初回CMV抗原陽性細胞数は少なく,抗ウイルス薬の投与期間が有意に短いことがわかりました.これは早期発見が早期治療介入・治癒につながった可能性を示唆しています.
今回の研究では入院期間の短縮はあるものの有意な差には至らず,今後サンプル数を増やしての再検討や,治療の要否に関わる検討もできればと考えております.

新井久美子
Superiority of Supervised Machine Learning on Reading Chest X-Rays in Intensive Care Units.Frontiers in Medicine :2021.676277
機械学習(machine learning technique)を使って胸部X線写真の異常を臨床医より速く正確に見出すことができるか研究しています.千葉大学の集中治療室で撮影されたポータブル胸部X線写真380枚と米国国立衛生研究所で保管された1720枚の2つのデータを訓練データ(training data)と強化データ(study data)に分けて解析しています.各々の画像は「無気肺」「胸水」「肺炎」「異常なし」の4つにラベリングされていて,機械学習モデルはDenseNet-121を用いて,アンサンブル学習によってアルゴリズムを強化しました.その後テストデータを用いてこの機械学習の診断能および集中治療臨床医との速度比較を行いました.その結果,診断能のAUCは学習によって向上し全ての種類において0.9以上となり,臨床医に比べて70倍の速さで診断することができました(9.66秒対12分).今後,この手法を用いて日々の胸部X線写真の異常を自動で同定し,より患者さんにとって有益な情報提供と医療資源の効率化を目指したいと考えています.

NIHリポジトリのテスト画像サンプル

ROC解析はサンプルサイズ25、50、75、100%で実施した。
(A)無気肺に対するROC解析。
(B)胸水に対するもの。
(C)肺炎に対するもの。
(D)緊急事態なし。
今枝太郎
Trends in the incidence and outcome of sepsis using data from a Japanese nationwide medical claims database -the Japan Sepsis Alliance (JaSA) study group- .Critical Care :2021;25:338
敗血症は、2017年世界中で4,980万人が罹患、うち1,100万人が死亡し、WHO(世界保健機関)により、「世界が取り組むべき課題」に設定されています。敗血症の発症率と死亡率に関しては、地域間格差があると言われていますが、日本における敗血症の患者数や死亡数に関する全国的なデータはありませんでした。日本集中治療医学会、日本救急医学会、日本感染症学会が、敗血症の啓発と対策を行うために立ち上げたJapan Sepsis Alliance(JaSA)の研究グループの一員として、今回ビッグデータを活用して日本の敗血症の実態を調べました。
本研究は、2010年から8年間、5,000万人以上の日本の入院患者のデータを用いて行われました。入院患者のデータは、日本独自の診療報酬の包括評価制度であるDPC(Diagnosis Procedure Combination)の保険請求に基づくデータベースから抽出しました。8年間で敗血症の死亡率は、2010年の約25%から2017年には約18%と低下傾向にあります。その一方で、入院患者における敗血症発症率は2010年の約3%から2017年には約5%、入院患者1,000人あたりの敗血症による年間死亡数は2010年の約6.5人から2017年には約8人といずれも増加傾向です。なお8年間で200万人以上(入院患者の約4%)が敗血症を発症し、約36万人が敗血症によって死亡しました(死亡率約20%)。本研究により、日本における敗血症患者の死亡率は低下傾向である一方、患者数や死亡数は増加傾向にあることがわかります。超高齢社会である日本において、今後も敗血症患者数は増加傾向を示すと推測されます。敗血症治療においては、感染症に対する治療とともに、臓器障害に対する集中治療室での専門的な治療が必要です。また感染症に対する予防も重要で、ワクチン接種、衛生保持、早期発見も大切です。これからも引き続き日本の敗血症対策を推進していきます。

柄澤智史
Early Elevation of Cell-free DNA After Acute Mesenteric Ischemia in Rats.Journal of surgical research; 2022(269)28-35
急性腸間膜虚血は致死率の高い疾患であり、救命のためには早期診断が重要ですが、その診断方法はいまだ確立されていません。Cell-free DNAは細胞の崩壊に伴い放出されるDNA断片であり、脳梗塞や心筋梗塞など多くの虚血性疾患におけるbiomarkerとしても注目されています。今回、このCell-free DNAが急性腸間膜虚血の早期診断に有用でないかと考え、動物の腸管虚血モデルを用いてCreatine Kinase(CK)やIntestinal fatty-acid binding protein(I-FABP)などの既知のbiomarkerと比較しました。その結果、Cell-free DNAは既知のbiomarkerと比較して早期診断のための優れたbiomarkerであることが示唆されました。今後、この知見をもとに臨床での有用性を確認していきたいと考えています。

LDH、乳酸、I-FABP、およびcell-free DNAの血中濃度。データは、平均値と標準偏差で表示されている。パラメトリックデータは中央値、ノンパラメトリックデータは四分位値。腹部敗血症のLDHのデータのみ正規化されていなかった。Mann-Whitney U 検定を用いて評価した。その他のデータは正規分布であり、t 検定を用いて評価した。(A)傷害後2時間および6時間後のLDH値には3群間で有意差は認められなかった。(B)有意差なし乳酸値については、受傷2時間後および6時間後に3群間で差が認められた。(C)有意差は認められなかった傷害2時間後の血中I-FABP値には差があったが、血中I-FABP値は、腸間膜虚血モデルは、6時間後に偽ラットよりも(P < 0.05)。血中I-FABP濃度は、虚血モデルラットと偽ラットとの間に有意差はなかった。腹部敗血症モデルおよび腸間膜虚血モデル。(D. ) 血中無細胞DNA濃度は、腹部敗血症モデルと腸間膜虚血モデルで有意に高かった。腸間膜虚血モデルは、傷害の2時間後に偽モデルおよび腹部敗血症モデルよりも優れていた(P < 0.05)。高い血中腸管虚血モデルにおける無細胞DNAレベルは6時間後も持続していたが(P < 0.05)、統計的な有意差はなかった。腹部敗血症モデル(P = 0.10)と比較した。
高橋希
Significance of lactate clearance in septic shock patients with high bilirubin levels. Scientific reports 2021; 11: 6313.
敗血症の定義に用いられている血中乳酸値は敗血症診療において大変重要な位置づけをされています.近年は敗血症診療時に乳酸値がどの程度下がったかを示す「乳酸クリアランス」が治療効果の指標として注目されていますが,一方で乳酸は肝臓で代謝されるため,肝障害がどの程度この乳酸クリアランスに影響を与えるか分かっていませんでした.そこでカナダと日本の敗血症性ショックのデータを用いて,肝障害が乳酸クリアランスに与える影響を調査し解析しました.その結果,肝障害時には乳酸クリアランスの上昇が死亡率の低下と関連し,逆に肝障害がない場合には乳酸クリアランスと死亡率の低下に関連は無いことを見出しました.
今後はこの知見を踏まえて臓器障害時の乳酸値と敗血症の関連に関するメカニズムを解明したいと考えています.

Figure 2. Comparison of lactate clearance between survivors and non-survivors in the validation cohort.
生存群と死亡群における乳酸クリアランスの比較

Table 3. Multivariate logistics regression analysis for 28 days mortality. APACHE, acute physiolosy and chronic health evaluation.
28日死亡率に関する多変量ロジスティック回帰分析
(APACHE:acute physiology and chronic health valuation)
大網毅彦
Association between low body mass index and increased 28-day mortality of severe sepsis in Japanese cohorts. Scientific reports 2021; 11: e1615.
敗血症では,Body mass index (BMI)によって感染に対する生体反応が異なり,特に肥満患者で良好な転帰を認める”Obesity Paradox”という現象が知られています.一方で痩せ型の患者の敗血症の予後が平均的な体格の患者よりも悪化するという報告もあります.これらの報告は欧米の知見が中心であり,アジア人での検討はあまり行われてきませんでした.アジア人では欧米人に比べて痩せ型の患者が多く,肥満の指標であるBMIで層別化したグループごとの敗血症死亡率は欧米人のデータとは異なるのではないかと考えました.
今回千葉大学の敗血症のデータと国内の大規模な敗血症コホートのデータを用いて,BMIと予後との関連について解析しました.結果として,BMI低値群の患者はBMI高値群と比較して28日死亡率が有意に増加しました.この結果は二つの異なるコホートで証明され,より信頼度の高い結果であることがわかりました.今回の結果をもとに普段診療する敗血症患者の予後予測や重症化する患者の早期認識に役立てられればと思います.また,今回行ったのは観察研究ですが,今後研究を発展させてBMIの違いがどのように敗血症の病態に寄与するのかについてのメカニズムを解明できればと考えています.
多変量解析を用いた重症敗血症患者における28日死亡リスク因子の検討

異なる二つのコホートでBMI低値が28日死亡の有意なリスク因子となることが示された。
島居傑
Significance of body temperature in elderly patients with sepsis. Critical care 2020; 24: 387.
敗血症では,感染に対する生体反応により,様々なバイタルサイン異常が生じます.それらは患者さんの予後と関連することが知られていますが,一方で,高齢者では生体反応が鈍化するため,生じるバイタルサイン変化は乏しくなります.今回, バイタルサイン異常と予後との関連は,高齢者と非高齢者では異なると仮説を立て,国内外3つの大規模敗血症コホートのデータを用いて,それらの関連の違いについて解析しました.結果,非高齢者では低体温の場合死亡率は上昇し,高体温の場合死亡率は低下する一方で,高齢者では体温異常によって死亡率は変化しないことが明らかとなりました.
これらの発見は,予後不良となりうる敗血症患者の適切な認識に役立ち,集中治療の質の向上に寄与すると考えられます.

図:導出コホート (FORECASTコホート:本邦の敗血症コホート)におけるバイタルサインと院内90日死亡との関連
非高齢者(Nonelderly)では、低体温(体温<36.0℃)が、院内90日死亡に対する有意なリスク因子となった。
高齢者(Elderly)では、低体温と死亡との関連は認めず、頻脈(心拍数>90回/分)、頻呼吸(呼吸数>30回/分)が、有意な死亡リスク因子となった。
(調整ハザード比[Adjusted hazard ratio]: 年齢、性別、ステロイドの慢性使用、APACHE IIスコアを共変量として算出)
検証コホートを用いた解析
非高齢者の低体温は、2つの異なる検証コホートを用いた解析でも、死亡との有意な関連を認めた。
高齢者における頻脈、頻呼吸は、検証コホートでは死亡との関連を認めなかった。



各コホートの非高齢者/高齢者それぞれにおける、低体温と死亡との関連
a 導出コホート(FORECASTコホート)
b 検証コホート1(JAAMSR:過去の本邦敗血症コホート)
c 検証コホート2(SPHコホート:カナダの単施設コホート)
全てのコホートにおいて、低体温の非高齢者では、高い 死亡率を認めた。
東晶子
Shortening of low-flow duration over time was associated with improved outcomes of extracorporeal cardiopulmonary resuscitation in in-hospital cardiac arrest. Journal of intensive care 2020; 8: 39.
本論文は,当院で過去15年間に施行した院内心停止患者に対するECPR症例(ECMOを用いた心肺蘇生)を振り返り,様々な取り組みが治療成績向上につながったかを検証したものです.医師だけでなく看護師,臨床工学技士を含めたスタッフのECMOトレーニング,また院内急変対応システムやチャットアプリケーション(LINEWORKS)を用いたリアルタイム情報共有システムの構築を経て,“経時的にLow-flow durationは短縮し,短いLow-flow durationは患者の良い転帰(90日生存、神経学的予後良好)と関連する”ことが明らかとなりました.

研究対象者のフロー図。2003年から2017年までの研究期間に、合計349名のECMO患者が登録された。232人(VA ECMO not ECPR[n=108]、VV ECMO[n=37]、ECMOで搬送[n=29]、OHCA-ECPR[n=58])が除外され、結果として117人の患者が解析対象となった。

IHCA-ECPRの年間件数の推移。点線はRRSが導入された時期を示す。RRS導入後、IHCA-ECPR件数は2.4倍に有意に増加した(RRS導入前[2003-2011]vs.RRS導入後[2012-2017]、4.9±1.4 vs.12±1.7件/年、P=0.005)。エラーバーはSEMを示す。B. LFDの経時変化。IHCA-ECPRのLFDは、研究期間中、時間経過とともに有意に減少した(slope =-5.39 [min/3 years],P< 0.0001)。エラーバーはSEMを示す。C. カニュレーションにかかる時間の経時的変化。カニュレーションにかかる時間は経時的に短縮されなかった(傾き=-0.11[分/3年],P=0.90)。エラーバーはSEM. D. IHCA発生場所別のLFD。ICU、カテーテル室、ERでのLFDは、一般病棟、画像診断室、外来でのLFDよりも短かった。症例数はそれぞれ、45例(ICU)、26例(カテーテル室)、24例(一般病棟)、12例(ER)、6例(手術室)、3例(画像診断室)、1例(外来棟)。エラーバーはSEMを示す。
栗田健郎
Impact of increased calls to rapid response systems on unplanned ICU admissions: Japanese database study. American Journal of Emergency Medicine 2020; 38: 1327-1331.
この論文は,日本院内救急検討委員会が主導する多施設オンラインレジストリのデータを用いた解析です.本研究により,”規模の大きい病院ほど急変患者の重症度が高く,Rapid Response System(院内急変対応システム)の起動頻度が高い病院ほど急変患者の転帰が良い”ことが明らかとなりました.
この結果は本邦の今後の院内急変対応システムの成長のために非常に意義深い結果であると考えられます.
緊急ICU入室

Call rate が増えるほど,緊急ICU入室は減少した.
RRS介入時の心停止

1ケ月死亡

病院規模が大きいほど,RRS患者の1ケ月死亡率が高かった.
島居傑
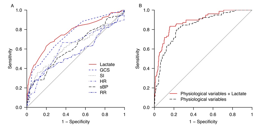
Prehospital lactate improves prediction of the need for immediate interventions for hemorrhage after trauma. Scientific reports 2019; 9: e13755.
本研究は,大阪府泉州救命救急センターと当教室との共同研究です.
外傷患者の診療では,迅速に適切な止血術/輸血療法を行うことが重要です.その必要性を精度高く早期に予測することは,患者予後の改善に寄与します.今回,ドクターカー要請となった外傷患者を対象として,出動現場における血中乳酸値測定の,止血術/輸血療法の必要性予測への有用性を検討しました.結果,現場で測定された血中乳酸値は, その必要性予測精度を向上させました.
本研究で示唆されたように, 病院前診療の血中乳酸値測定は有用と考えられます.今後, 病院前乳酸値が広く測定されるようになれば, 急性期医療の質が高まると期待されます.

出血に対する緊急処置(止血術/輸血療法)必要性予測のための、受信者動作特性曲線(ROC曲線)
A:各生理学的パラメータ(sBP、HR、RR、GCS、Shock Index [SI])、または、現場乳酸値について検討した単変量解析では、乳酸値が最も高い緊急処置予測能を示した(AUC=0.764)。
B:全ての生理学的パラメータと、穿通性外傷の有無を予測因子に用いた多変量ROC解析による緊急処置予測能は高かった(AUC 0.837)。現場乳酸値を予測因子に加えると、予測能はさらに高くなった(AUC 0.892)。

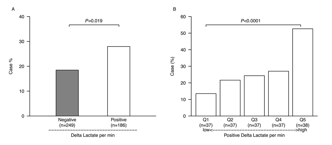
現場・病院間における乳酸変化率(Delta lactate per min)と緊急処置必要性との関連
A:病院到着時の乳酸値が、現場乳酸値と比べ上昇していた群(Positive delta lactate per min群)では、低下していた群(Negative delta lactate per min群)と比べ、緊急処置を必要とした割合が有意に多かった(P=0.019)。
B:Positive delta lactate per min群において、乳酸値の上昇率を5分位のサブグループに分けて解析した結果、 Delta lactate per minが高くなるにつれて、緊急処置を要した割合は有意に増加した(P<0.0001)(B)。
川口留以
Feedback function for capillary refilling time measurement device. Critical care 2019; 23: 295.
CRT (capillary refilling time)プロジェクト
(当教室と千葉大学フロンテイア医工学センター中口研究室の共同研究)
救急診療においてショックの早期発見は重要です.ショックの早期発見には,血圧や心拍数のみでは不十分であり,他の生理学的指標を用いて向上すべき課題であり,災害や多数傷病者発生時には,簡便な手法で適切にトリアージすることが必要とされます.CRTは,簡便・非侵襲的に得られるショックの指標です.しかしながら,目視での測定による精度低下,精確な値を得るための必要条件(圧迫時間/力の大きさ)が未解明で,測定方法の標準化に至っていません.
そこで我々は,各種センサを搭載したCRT基礎実験装置を開発,爪床圧迫の至適条件が圧迫力3〜7N, 圧迫時間 2秒以上と考えられる事がわかりました.さらに,開発した小型のCRT測定装置に爪床圧迫の際のフィードバック機能をつける事で,測定者間誤差の少ないCRT測定が可能である事を確認し,報告してきました.
今後も,CRTの臨床における意義有用性を再評価や,測定者によらず患者評価可能となるような測定装置を開発などの研究を継続していく予定です.
フィードバック機能を搭載した小型測定装置

フィードバック機能を有すると圧迫時間/力の測定者間誤差は減少する

Pressing strength and time in the CRT measurement using the developed device without and with feedback function. Panel a Pressing strength. Panel b Pressing time. A significant difference was observed in the pressing strength and time between the CRT measurements using the portable CRT device with and without a feedback function (Mann–Whitney U test—strength: P < 0.001; time: P < 0.01). The feedback function significantly reduced the intra-examiner variance in the pressing strength and time (F test—strength: P < 0.001; time: P < 0.001). The median and minimum and maximum interquartile ranges are shown
大網毅彦
Suppression of T Cell Autophagy Results in Decreased Viability and Function of T Cells Through Accelerated Apoptosis in a Murine Sepsis Model. Crit Care Med. 2017; 45:e77-e85.
オートファジーは生命維持に欠かせない蛋白分解機構の一種で,「自食」とも呼ばれる細胞内浄化システムです.東京工業大学の大隅教授が2016年度ノーベル生理医学賞を受賞したこともあり,近年脚光を浴びている分野です.敗血症は細胞機能が破綻した結果として臓器不全から死に至る病態ですが,敗血症の病態にオートファジーが関わっているという知見が当教室を始め次々と報告されています.今回注目したのは,敗血症の亜急性期に問題となる免疫麻痺の病態に深く関わっているとされるCD4+ T細胞です.特にオートファジーとアポトーシスの間にあるクロストークを明らかにするために,遺伝子工学でオートファジーを欠損させた敗血症モデルマウスを使って実験を行いました.その結果,敗血症の病態でT細胞のオートファジーはアポトーシスとのクロストークを介してプログラム細胞死を抑制しており,生体保護的に働いている可能性が示唆されました.オートファジーを抑制することによりアポトーシスが亢進していたことから,今後オートファジー機構活性化による免疫麻痺の改善を企図した敗血症治療への応用が期待されます.
菅なつみ
ECMO患者におけるCRRT施行率は50-60%に及ぶが,CRRT をECMO 回路へ安全に接続する方法は未だ確立されていない.今回,圧の面から最適な施行方法を検討すべく本研究を行った.【方法】送脱血管,遠心ポンプ,人工肺およびリザーバーと水を用いてECMO回路を作成した.ECMO流量および高低差を変化させ,ECMO回路内圧を測定した.耐圧チューブおよび高流量三方活栓を用いて,ポンプ前後にバイパス回路を作成し,ECMO流量を変化させた際のバイパス回路内圧,バイパス回路へ接続したCRRTの圧を測定した.更に,成人患者に対し施行中のECMOにおいて検証した.尚,CRRTを安全に接続出来る場所の圧は0-150mmHgと定義した.【結果・考察】ECMO回路内圧のうちポンプ前の圧は陰圧となり,ポンプ後・人工肺後の圧はECMO流量を増加させた際に150mmHgを超えた.バイパス回路内圧はポンプ前後の圧の間を線形に変化し,ECMO流量や高低差を変化させても65-104mmHgの範囲に収まる場所が存在した.同部位へ接続したCRRTの圧も警報内であった.臨床症例においても同様の結果が得られた.以上より,ECMOのポンプ前後に作成したバイパス回路には,CRRT接続に適した圧の場所が存在した.また,適切な圧の場所はバイパス回路両端の圧より予測し得た.【結論】バイパス回路へのCRRT接続がより安全で,最適な方法となり得る.
Timing and location of medical emergency team activation is associated with seriousness of outcome: an observational study in a tertiary care hospital
栗田健朗
病院内における患者の急激な容態変化は稀な出来事でなく, 患者の予後を改善するためには迅速で適切な対応が重要となります. 当院では救急科・集中治療部医師を中心にMedical Emergency Team (MET)を構築し, 院内急変患者が発生した際に要請を受け現場での救命活動を開始するシステムを2012年2月より導入しました. 2015年1月までの3年間, 336件のMET活動を経験し, そのデータを基にMET活動の時間帯・場所と急変患者の重症度について解析を行いました. その結果, 準夜帯や夜間帯の要請では日勤帯の要請に比較し重症患者の割合が高く, 検査室や造影室, 手術室や透析室などのmedical spaceが重症患者のリスクとなることが示されました.
重症患者の予後改善のためには重症患者を適切に早期に認知することが重要です. 今後は院内急変患者の転機改善により効果的となるMET活動の確立することを目標に, 今回明らかとなった重症患者発生の時間帯・場所の要素と, モニタリング体制や定期観察などの監視の要素との相関の解析など, さらなる研究をすすめる方針です.
Purpose: The medical emergency team (MET) can be activated anytime and anywhere in a hospital. We hypothesized the timing and location of MET activation are associated with seriousness of outcome.
Materials and Methods: We tested for an association of clinical outcomes with timing and location using a university hospital cohort in Japan (n=328). The primary outcome was short-term serious outcome (unplanned ICU admission after MET activation or death at scene).
Results: Patients for whom the MET was activated in the evening or night-time had significantly higher rates of short-term serious outcome than those for whom it was activated during the daytime (vs. evening: adjusted OR = 2. 53, 95% CI = 1.24–5.13, P = 0.010; night-time: adjusted OR = 2.45, 95% CI = 1.09–5.50, P = 0.030). Patients for whom the MET was activated in public space had decreased short-term serious outcome compared to medical spaces (public space: adjusted OR = 0.19, 95% CI = 0.07–0.54, P = 0.0017). Night-time (vs. daytime) and medical space (vs. public space) were significantly associated with higher risks of unexpected cardiac arrest and 28-day mortality.
Conclusions: Patients for whom the MET was activated in the evening/night-time, or in medical space, had a higher rate of short-term serious outcomes. Taking measures against these risk factors may improve MET performance.
本研究は,公益財団法人 聖ルカ・ライフサイエンス研究所 平成28年度 臨床疫学等に関する研究助成金の助成を受けて行った研究成果です.
ICUにおける急性期治療が成功しても,他の患者層と比較して退院後死亡が多いなど,退室後転帰が不良なことも少なくありませんICU退室時には臓器障害などの臨床所見が改善しても持続的な非顕性炎症を伴うことが多く,死亡率の上昇と関連することが報告されています.我々はICU退室時の生理学的指標および検査所見を収集・解析し,ICU退室後転帰を追跡することで,ICU退室後死亡を予測する退室時所見を見出しました.
多変量解析の結果,ICU退室時SOFA (sequential organ failure assessment) score・プロカルシトニン値・アルブミン値がICU退室後90日死亡と関連し,SOFA scoreやプロカルシトニン値が高いもしくはアルブミン値が低い状態でICUを退室する場合,生存期間が短くなる危険性が高いことがわかりました.さらにこれらを組み合わせることでより正確に診断可能となることもわかりました.
こうしたハイリスクな患者さんを見分けることで,集中治療が終了後もなお急性期治療を続けて行くことができます.ひいては,ICUに入室した患者さんの長期予後を改善していくのに役立てていきたいと考えています.
劇症肝炎をはじめとする急性肝不全は,いまだ死亡率の高い病態です.特に,昏睡型急性肝不全,亜急性型の場合,肝移植を行わねば救命できないことも少なくありません.当科ではかつてより,急性肝不全に対する人工肝補助療法の研究を続けてきました.1992年,それまで行っていた血漿交換 (PE) に持続的血液濾過透析 (CHDF) を組み合わせて施行して以来,slow PE やHigh-flow CHDFなどの工夫を積み重ね,現在ではオンラインHDFを中心とした人工肝補助療法を行っています.これによって,最近3年間の昏睡型急性肝不全12例中11例で,肝性昏睡からの意識覚醒が得られています.我々は,厚生労働科研:難治性の肝胆道疾患に関する調査研究班,血液浄化法の有効性評価を目的としたワーキンググループにおいて,これらの内容をまとめ,全国の肝不全治療施設に向けて発信しています.今後は,より有効な肝不全治療を確立できるよう,研究を続けていきます.
藤原慶一,織田成人,安部隆三,横須賀收,他:急性肝不全に対する人工肝補助療法についての提言:high-flow CHDF, On-line HDFによる意識覚醒率向上の認識とその全国標準化の必要性.肝臓 55(1), 79-81, 2014.
オートファジーは自食を意味する細胞内タンパク分解機構の一種であり,障害を受けたミトコンドリアなどの不要な細胞小器官の分解,病原微生物の排除などの役割が確認されています.当教室でこれまで行ってきたオートファジーの敗血症への関与についての先行研究に基づき,オートファジー関連一塩基多型の一つであるIRGM(+313) (rs10065172, c.313C>T)と重症敗血症患者の転帰への影響を調べました.また,リポポリサッカライド(LPS)によるex vivo刺激下でのIRGM(+313)遺伝子の発現量に関しても検討しました.その結果,IRGM(+313)のTT homozygotesが重症敗血症患者の転帰不良に関係があることが判明しました.また,健常人の全血をLPSで刺激した時のIRGM遺伝子発現が,TT homozygotesでは,他のgenotypeに比し有意に抑制されていることがわかりました.したがって,IRGM(+313) TT homozygotesは重症敗血症患者の転帰悪化をもたらしている可能性があります.私たちは,より重症化しやすい敗血症患者および従来の治療では救命困難な敗血症患者の救命率を向上させるべく,研究を続けています.
細菌性髄膜炎は死亡率が高く,また,生存例でも神経学的予後が不良な疾患です.一般に細菌性髄膜炎は,髄液細胞数の上昇によって診断しますが,診断に難渋することがあります.私たちは髄液中IL-6値も著明に上昇する傾向があることを見出だし,詳細な解析を行いました.その結果,髄液中IL-6値は,髄液中の他の検査項目と比べて細菌性髄膜炎の診断に最も有効であることが判明しました.さらに神経学的転帰の指標であるGlasgow Outcome Scale(GOS)と,髄液中IL-6値には相関があることがわかり,早期に神経学的転帰を予測できる可能性も示唆されました.現在当科では臨床において髄液中IL-6測定を行い,診療に活用しています.
近年,敗血症病態においてautophagyの関与が考えられています.マウス腹膜炎モデルであるCLPモデルを用いた研究において,敗血症急性期には重要臓器でautophagyが亢進していることが観察されました.さらに,autophagy阻害薬の投与により,臓器障害の助長とともに生存率が低下することが示されました.敗血症病態におけるautophagyの生理学的役割は未だ不明な点もありますが,これらの結果からは,細胞保護的な役割を果たしていると考えられ,さらに研究を進めています.
病院内で急な容態変化の発生はまれではありません.近年,病院内急変に対して迅速対応システム(Rapid Response System, RRS)を構築することが有用な対応策となることが報告されつつあります.そこで,当院でも2012年2月より緊急処置を要する急変患者が発生した時には当救急科・集中治療部医師を中心としたMedical Emergency Team (MET)を要請し,要請を受けたMETは現場で迅速な救命活動を開始するシステムを導入いたしました.2013年2月までのMET導入から最初の1年間には82件(入院1000件あたり4.9件)のMET要請を受け救命対応を行っております.今後は,本活動を継続し,データ収集・解析を行い,要請基準や運用方法などの検討を加え,より良い迅速対応システムを構築したいと考えております.
敗血症の病態には過剰に産生されたサイトカインが深く関与するといわれています.近年,敗血症においてサイトカイン産生を増強させる因子のひとつとしてtriggering receptor expressed on myeloid cells -1 (TREM-1)が注目されています.私たちは当ICUに入室した56症例を対象に細胞上のTREM-1発現と血中sTREM-1濃度を測定し,その臨床的意義を検討しました.その結果,敗血症症例の血中sTREM-1濃度は健常者やSIRS症例に比べ高値であること,そして血中sTREM-1濃度はSOFAスコアと呼ばれる重症度スコアや代表的な炎症性サイトカインとして知られるIL-6の血中濃度と正の相関関係にあること,死亡群の血中sTREM-1濃度は生存群に比べ高値を示すことを明らかとしました.これらより,血中sTREM-1濃度が重症度判定や生存転帰の予測に有用であると考え,今後はさらに研究をすすめ,TREM-1の敗血症の病態に果たす役割を明らかにしたいと思っております.
原因菌種による病態の違いに関しては,いまだ不明な点が多く,菌種に応じた治療戦略は確立されていません.そこで,当ICUに入室し血液培養検査を行った2528症例,4191検体に関して,検査結果や臨床経過を検討しました.まず,血液培養陽性となった敗血症患者259例を,敗血症の重症度別に3群に分けて検討した結果,最重症であるseptic shock群では,CRP, IL-6血中濃度,死亡率が高いばかりでなく,グラム陰性菌検出頻度が有意に高率でした.また,グラム陰性菌菌血症(176検体)においては,グラム陽性菌菌血症(407検体)に比し,血液培養と同時に測定したCRPおよびIL-6血中濃度が有意に高値でした.さらに,菌種別IL-6血中濃度は,群間比較において有意に異なる分散を示しました.今後,抗菌薬以外にも,原因菌種に応じた対策が必要であると考えられます.
オートファジーは,自食を意味する細胞内の蛋白分解機構の一種です.基本的には,生命維持に必須のオートファジーも,過剰になると細胞死を惹起し,それはⅡ型プログラム細胞死とも呼ばれます(アポトーシスはⅠ型プログラム細胞死).一方,重症敗血症は,ICUにおいて最も問題となる,いまだ救命困難な病態であり,敗血症に罹患した患者の重要臓器ではあらゆる形態の細胞死が起こっているとされています.我々は,敗血症患者の肝標本,およびマウス腹膜炎モデルの肝細胞にて,オートファジー小胞の増加を電子顕微鏡で確認しており,これは敗血症とオートファジーの関与を示した初の報告です.そこで,敗血症の病態の中でオートファジーが如何に関与しているかを解明し,その正もしくは負の制御によって敗血症病態を改善させるべく研究を重ねています.
敗血症の臨床経過や転帰に影響を与える因子としては年齢,性別,基礎疾患がよく知られておりますが,近年,遺伝的素因も重要な因子として注目されています.そこで年齢,性別,基礎疾患といった背景因子に,個々の遺伝的素因の違いである遺伝子の一塩基多型(single nucleotide polymorphisms, SNPs)を加えることで,より正確な経過や転帰の予測が可能になるかと仮説を立てて,当ICUの敗血症患者の死亡に関わる各種因子を多変量解析し検証しました.その結果,重症度スコアーであるAPACHEⅡ scoreと2つの遺伝子多型(SNPs)が転帰と関連を認めました.そしてこれらの因子を用いて死亡予測のROC解析を行ったところ,APACHEⅡ score単独の死亡予測よりも,APACHEⅡ scoreに遺伝的情報を加えた死亡予測のほうがより正確であるという結果が得られました.従来の臨床情報に基づいた予後予測因子に,遺伝子情報を組み合わせることで,より正確な予後予測が可能であることが示唆し,将来的には患者背景の一つとして遺伝的情報が加える日も遠くないと考えています.
近年の質量分析計の目覚しい発達により,各診療領域でproteome解析の技術を用いた病態解析(疾患プロテオミクス)が盛んに行われるようになりました.我々は当大学の分子病態解析学講座(野村文夫教授)との共同研究により,最新のproteome解析の手法を用いて重症敗血症患者血清の網羅的解析を行いました.その結果,写真に示すように敗血症患者で発現が増加または低下している蛋白質を複数同定しました.さらにこれらの蛋白質のうち,YKL-40という蛋白質が治療抵抗性の循環不全を呈する症例においてより高値となっていることを見出しました.この結果を臨床医学に応用すべく,現在はこれらの蛋白質が敗血症の新しいbiomarkerや治療ターゲット(もしくは治療薬)となり得るかどうかを検証しています.
蘇生に成功した心停止患者の神経学的予後を早期に予測することは困難です.そこで中枢神経のbiomarkerとして近年注目されているS100B,neuron-specific enolase (NSE)血中濃度を来院時より経時的に測定し,神経学的予後の指標として有用であるかを検討しました.その結果,発症24時間後のS100Bが予後予測因子として有用である可能性が示唆され,S100BとNSEに関する論文報告からも同様の結論を得ました.次に乳酸とアンモニア血中濃度に関して検討を加えると,来院時の乳酸とアンモニアを組み合わせることで,蘇生後患者の神経学的予後をより正確に予測できる可能性も示唆されました.これらの結果に基づき,今後は蘇生に成功した心停止患者の神経学的予後をより早期かつ正確に予測できるものと考えています.
Polymethylmethacrylate (PMMA)膜 hemofiltorを用いた持続的血液濾過透析(continuous hemodiafiltration, CHDF)は主に吸着の作用でサイトカインを吸着除去します.そのため高サイトカイン血症を呈する敗血症性ショック患者に対して早期よりPMMA-CHDFを施行しています.また,従来のPMMA-CHDFのみでは改善が得られず,IL-6血中濃度迅速測定結果より高サイトカイン血症が継続しサイトカイン除去が不十分である場合にはenhanced intensity PMMA-CHDFを施行しています.
侵襲によってサイトカインが過剰に産生され高サイトカイン血症を示す症例の中にはサイトカイン血中濃度が異常高値(hypercytokinemia)となってしまい,PMMA膜hemofilterを用いた持続的血液濾過透析(PMMA-CHDF)をはじめとするサイトカイン除去療法を施行しても血中濃度が充分に低下せずに不幸な転帰となる症例が少なからず存在します.これら症例におけるhypercytokinemiaに対する新しい吸着材を用いた血液浄化法を当科で開発し臨床治験を行いました.この新しい吸着材はポリスチレン繊維に化学修飾したものであり,多くのサイトカインを吸着除去することが可能で,特にIL-1βおよびIL-8に高い吸着特性を持っていることが判明しています.この吸着材を中に充填した血液吸着カラムを使用した血液直接灌流(サイトカイン吸着療法)を,IL-6血中濃度が1000 pg/mL以上でSOFA scoreが5点以上の重症敗血症7例に施行しました.この血液浄化法の施行後にはIL-6,IL-8,IL-10血中濃度は有意に低下し,また臨床指標も改善傾向を示し,特に呼吸状態が有意に改善しました.一方,予想よりサイトカイン除去率が低かった,という課題も判明し更なる改良の検討を行なっているところです.